728x90

🌉 다리 놓기


💡 문제 이해하기 및 풀이 아이디어

서쪽과 동쪽을 이으는 서로 겹치지 않는 다리의 경우의 수를 구해야 한다

 

 

 

✅ 풀이 코드

# 다리 놓기
T = int(input())

def bridge(n, m):
    dp = [[0 for _ in range(m+1)] for _ in range(n+1)]

    for i in range(1, m+1):
        dp[1][i] = i # N이 1일 때

    # N이 2 이상일 때
    for i in range(2, n+1):
        for j in range(i, m+1):
            for k in range(j, i-1, -1):
                dp[i][j] += dp[i-1][k-1]
    return dp[n][m]

for _ in range(T):
    N, M = map(int, input().split())
    print(bridge(N,M))

 

728x90

🌼 Dynamic Programming (다이나믹 프로그래밍/동적 계획법)

🌼 다이나믹프로그래밍

  • 메모리를 적절히 사용하여 수행 시간 효율성을 비약적으로 향상시키는 방법
  • 이미 계산된 결과(작은 문제)는 별도의 메모리 영역에 저장하여 다시 계산하지 않도록 한다.
  • DP의 구현은 일반적으로 두 가지가 있다.
    • 상향식(Bottom Up)
    • 하향식(Top Down)
  • 다이나믹 프로그래밍은 동적 계획법이라고도 부른다.
  • 프로그래밍 분야에서의 Dynamic?
    • 자료구조에서 동적 할당(Dynamic Allocation)은 '프로그래밍 실행되는 도중 필요한 메모리할당 기법'이다.
    • 반면, Dynamic Programming의 Dynamic은 별다른 의미 없이 사용한다.

🌼 다이나믹프로그래밍의 조건

  • 다이나믹 프로그래밍은 문제가 다음의 조건을 만족할 때 사용할 수 있다.
  1. 최적 부분 조건(Optimal Substructure):
    • 큰 문제를 작은 문제로 나눌 수 있으며, 작은 문제의 답을 모아서 큰 문제를 해결할 수 있다.
  2. 중복되는 부분 문제(Overlapping Subproblem)
    • 동일한 작은 문제를 반복적으로 해결해야 한다.

 

🌼 피보나치 수열

  • 피보나치 수열은 다음과 같은 형태의 수열이며, 다이나믹 프로그래밍으로 효과적으로 계산할 수 있다.

1 1 2 3 5 8 13 21 34 55 89 ...

  • 점화식이란 인접한 항들의 관계식을 의미
  • 피보나치 수열의 점화식
    • An = An-1 + An-2, A1 = 1, A2 = 1
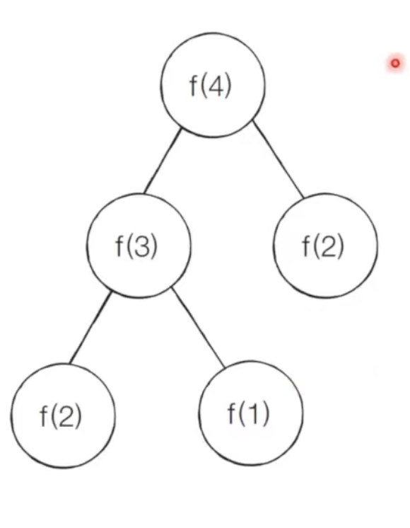
  •  피보나치 수열이 계산되는 과정은 다음과 같이 표현할 수 있다.
  • n번째 피보나치 수를 f(n)이라고 할 때, 4번째 피보나치수 f(4)를 구하는 과정은 다음과 같다.

def fibo(x):
	if x == 1 or x == 2:
    	return 1
	return fibo(x-1) + fibo(x-2)
print(fibo(4))

 

🌼 피보나치 수열의 시간복잡도

  • 단순 재귀함수로 구현하게 되면 지수 시간 복잡도를 가지게 된다.
  • f(x)가 여러번 호출되는 것을 확인할 수 있다. (중복되는 문제)
  • 시간복잡도: O(2^N)

 

🌼 피보나치 수열의 효율적인 해법: 다이나믹 프로그래밍

  • DP 사용조건을 만족하는지 확인
    • 최적부분구조: 큰 문제를 작은 문제로 나눌 수 있다.
    • 중복되는문제: 동일한 작은 문제를 반복적으로 해결
  • 피보나치수열은 DP 사용 조건을 만족한다.

 

🌼 메모제이션(memozation)

  • 메모제이션은 DP 구현 방법중 하나이다.
  • 한번 해결한 결과를 메모리제 저장하는 기법
  • 같은 문제를 다시 호출하면 메모했던 결과를 그대로 가져옴.
  • 값을 기록해 놓는다는 점에서 캐싱(Caching)이라고도 한다.

 

🌼 Top Down vs Bottom Up

  • 탑다운(메모제이션) 방식은 하향식이라고도 하며, 바텀업은 상향식이라고도 한다.
  • DP의 전형적인 형태는 바텀업 방식이다.
    • 결과 저장용 리스트는 DP 테이블이라고 부른다.
  • 엄밀히 말하면 메모제이션은 이전에 계산된 결과를 일시적으로 저장해 놓는 개념을 의미한다.
    • 따라서 메모제이션은 DP에 국한된 개념은 아니다.
    • 한번 계산된 결과를 담아 놓기만하고 DP에 활용하지 않을 수도 있다.

1️⃣ Top Down(하향식)

dp = [0] * 100

def fibo(x):
	if x == 1 or x == 2:
    	return 1
	if dp[x] != 0:
    	return dp[x]
	dp[x] = fibo(x-1) + fibo(x-2)
    return dp[x]

 

2️⃣ Bottom Up(상향식)

dp = [0] * 100

d[1] = 1
d[2] = 1

for x in range(3, n + 1):
	dp[x] = dp[x-1] + dp[x-2]
print(dp[n])

 

 

🌼 다이나믹프로그래밍 vs 분할정복

  • DP와 분할정복은 모두 최적 부분 구조를 가질 때 사용할 수 있다.
  • 큰 문제를 작은 문제로 나눌 수 있으며, 작은 문제의 답을 모아서 큰 문제를 해결할 수 있는 상황
  • DP와 분할정복의 차이점은 부분문제의 중복이다.
  • 분할정복은 동일한 부분 문제가 반복적으로 계산되지 않는다.
  • 분할 정복의 대표적인 예시인 퀵정렬을 살펴보겠다.
    • 한 번의 기준 원소(Pivot)가 자리를 변경해서 자리를 잡으면 그 기준 원소의 위치는 바뀌지 않는다.
    • 분할 이후에 해당 Pivot을 다시 처리하는 부분 문제는 호출하지 않는다.

🌼 DP문제에 접근하는 방법

  • 주어진 문제가 다이나믹 프로그래밍 유형임을 파악하는 것이 중요하다.
  • 가장 먼저, 그리디, 구현, 완전탐색 등의 아이디어로 문제를 해결할 수 있는지를 검토
    • 다른 알고리즘 풀이가 떠오르지 않는다면 DP를 고려
  • 일단 재귀함수로 비효율적인 완전탐색 프로그램을 작성한 뒤에(탑다운) 작은문제에서 구한 답이 큰 문제에서 그래도 사용될수 있으면, 코드를 개선
  • 일반적인 코딩테스트 수준에서는 기본 유형의 DP 문제를 출제
728x90

입국심사

문제 설명

n명이 입국심사를 위해 줄을 서서 기다리고 있습니다. 각 입국심사대에 있는 심사관마다 심사하는데 걸리는 시간은 다릅니다. 

처음에 모든 심사대는 비어있습니다. 한 심사대에서는 동시에 한 명만 심사를 할 수 있습니다. 

가장 앞에 서 있는 사람은 비어 있는 심사대로 가서 심사를 받을 수 있습니다. 

하지만 더 빨리 끝나는 심사대가 있으면 기다렸다가 그곳으로 가서 심사를 받을 수도 있습니다. 

모든 사람이 심사를 받는데 걸리는 시간을 최소로 하고 싶습니다. 

입국심사를 기다리는 사람 수 n, 각 심사관이 한 명을 심사하는데 걸리는 시간이 담긴 배열 times가 매개변수로 주어질 때, 모든 사람이 심사를 받는데 걸리는 시간의 최솟값을 return 하도록 solution 함수를 작성해주세요.

 

제한사항

  • 입국심사를 기다리는 사람은 1명 이상 1,000,000,000명 이하입니다. 
  • 각 심사관이 한 명을 심사하는데 걸리는 시간은 1분 이상 1,000,000,000분 이하입니다. 
  • 심사관은 1명 이상 100,000명 이하입니다.

 

 

 

✅ 정답 코드 (풀이 참고)

def solution(n, times):
    answer = 0
    times.sort(reverse=True)
    
    start = 1
    end = max(times) * n
    
    while start < end:
        mid = (start + end) // 2
        result = 0 
        for a in times:
            result += mid // a

        if result >= n:
            end = mid
        else:
            start = mid + 1

    return start
728x90

🌼 이전 내용

  1. 이진 탐색 이론 및 구현

🌼 이진 탐색 기초 문제 풀이

📄 <문제 1> 떡볶이 떡 만들기: 문제 설명

  • 오늘 00이는 여행 가신 부모님을 대신해서 떡집 일을 하기로 했습니다. 오늘은 떡볶이 떡을 만드는 날입니다. 00이네 떡볶이 떡은 재밌게도 떡볶이 떡의 길이가 일정하지 않습니다. 대신에 한 봉지 안에 들어가는 떡의 총 길이는 절단기로 잘라서 맞춰줍니다.
  • 절단이 높이(H)를 지정하면 줄지어진 떡을 한 번에 절단합니다. 높이가 H보다 긴 떡은 H위의 부분이 잘릴 것이고, 낮은 떡은 잘리지 않습니다.
  • 예를 들어 높이가 19, 14, 10, 17cm인 떡이 나란히 있고 절단기 높이를 15cm로 지정하면 자른 뒤 떡의 높이는 15, 14, 10, 15cm가 될 것입니다. 잘린 떡의 길이는 차례대로 4, 0, 0, 2cm입니다. 손님은 6cm 만큼의 길이를 가져갑니다.
  • 손님이 왔을 때 요청한 총 길이가 M일 때 적어도 M만큼의 떡을 얻기 위해 절단기에 설정할 수 있는 높이의 최대값을 구하는 프로그램 작성

💡 문제 풀이 아이디어

  • 적절한 높이을 찾을 때까지 이진 탐색을 수행하여 높이 H를 반복해서 조정하면 된다.
  • '현재 이 높이로 자르면 조건을 만족할 수 있는가?'를 확인한 뒤에 조건의 만족 여부('예' 혹은 '아니오')에 따라서 탐색 범위를 좁혀서 해결할 수 있다.
  • 절단기의 높이는 0부터 10억까지의 정수 중 하나이다.
    • 이렇게 큰 탐색 범위를 보면 가장 먼저 이진 탐색을 떠올려야 한다.
  • 문제에서 제시된 예시를 통해 그림으로 이해해 보자.

  • 이러한 이진 탐색 과정을 반복하면 답을 도출할 수 있습니다.
  • 중간점의 값은 시간이 지날수록 '최적화된 값'이 되기 때문에, 과정을 반복하면서 얻을 수 있는 떡의 길이 합이 필요한 떡의 길이보다 크거나 같을 때마다 중간점의 값을 기록하면 된다.

✅ 내가 작성한 코드

N, M = map(int, input().split())
ddeok = list(map(int, input().split()))
ddeok.sort()

start = 0
end = max(ddeok)

while start <= end:
    mid = (start + end) // 2

    result = 0
    for d in ddeok:
        if d - mid > 0:
            result += d - mid
    if result > M:
        start = mid + 1
    elif result < M:
        end = mid - 1
    else:
        print(mid)
        break

 

✅ 제시된 정답 코드

n, m = list(map(int, input().split()))

array = list(map(int, input().split()))

start = 0
end = max(array)

result = 0
while (start <= end):
    total = 0
    mid = (start + end) // 2
    for x in array:
        if x > mid:
            total += x - mid
    if total < m:
        end = mid - 1
    else:
        result = mid
        start = mid + 1
print(result)

 

 

📄 <문제 2> 정렬된 배열에서 특정 수의 개수 구하기: 문제 설명

  • N개의 원소를 포함하고 있는 수열이 오름차순으로 정렬되어 있습니다. 이때 이 수열에서 x가 등장하는 횟수를 계산하세요. 예를 들어 수열 {1, 1, 2, 2, 2, 2, 3}이 잇을 때 x = 2 라면, 현재 수열에서 값이 2인 원소가 4개이므로 4를 출력합니다.
  • 단, 이 문제는 시간 복잡도 O(logN)으로 알고리즘을 설계하지 않으면 시간 초과 판정을 받는다.

 

💡 문제 풀이 아이디어

 

 

✅ 제시된 정답 코드

from bisect import bisect_left, bisect_right

def count_by_range(array, left_value, right_value):
    right_index = bisect_right(array, right_value)
    left_index = bisect_left(array, left_value)
    return right_index - left_index

n, x = map(int, input().split())
array = list(map(int, input().split()))

count = count_by_range(array, x, x)
if count == 0:
    print(-1)
else:
    print(count)

+ Recent posts